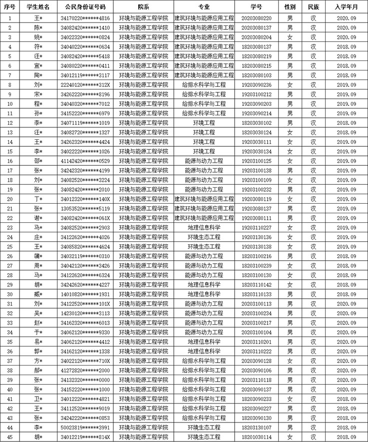
根据校学函〔2021〕94号《关于做好2021年国家奖学金、国家励志奖学金及国家助学金评定工作的通知》的要求,经个人申报,资格审查,学院评审委员会讨论、初审,拟推荐王*等45人参评2021年国家励志奖学金。
公示时间:2021年9月27日至10月8日。
公示期间,对上述情况有异议的请向学院纪委反映。
联系人:吴明轩
联系电话:63828255
2021年9月27日
公示名单如下:
地 址:欧美黑人巨大videos精品_欧美黑人巨大xxxxx_欧美黑人乱大交_欧美黑人乱大交_欧美黑人牲交videossexeso_欧美黑人添添高潮a片www_欧美黑人添添高潮a片www_欧美黑人性暴力猛交喷水黑人巨大南校区 合肥市蜀山区紫云路292号
电话:0551-63828123
Copyright © 2022 ahjzu.for-shanghai.com All Rights Reserved. 版权所有 欧美黑人巨大videos精品_欧美黑人巨大xxxxx_欧美黑人乱大交_欧美黑人乱大交_欧美黑人牲交videossexeso_欧美黑人添添高潮a片www_欧美黑人添添高潮a片www_欧美黑人性暴力猛交喷水黑人巨大环境与能源工程学院
安建大环能学院扫码关注